옛날 일기(28)
페이지 정보
작성자본문
“Would it be alright if I just quickly sketched this to clarify my point?” 이런 행동은 따라 하면 난감한 상황에 처할 수 있으니 삼가는 것이 좋다. 앞에 나가 설명하는 것 자체가 수업에 방해될 수 있는 행동이기 때문이다. 나의 발칙한 요청을 흔쾌히 허락해 주셨다. 앞에 나가 프로젝터 앞에 섰다. 오버헤드 프로젝터라고 하는데, 요즘에는 디지털 프로젝터로 대체되고 거의 안 쓰는 옛날 프로젝터다. 조교가 투명 필름과 마커를 가져다주었다. 좌측에 x, y축을 그렸다. 학생들이 웃고, 나도 함께 웃었다. 긴장 풀 때는 웃음이 최고다.
자칭 예쁘고 착한 20살 여자A는 자신의 가치를 백만불에 비견했다. 답은 이미 알고 있었다. optimal stopping problem이다. 문제는 답을 설명하는 과정인데, 주어진 조건만으로는 수학적 논리에 한계가 있었다. 조건을 만들어야 했다. 조건을 학생들에게 맡겼다. 강의 시간이 얼마 안 남았기에 모든 조건을 수렴할 수는 없었다. 가능하면 현실적이면서 누구나 쉽게 이해할 수 있는 조건들만 수렴했다. 어떤 조건을 반영해도 최적 정지 문제의 개념은 변하지 않기 때문에, 아무 조건이나 대충 넣어도 상관없었다.
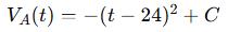
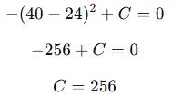
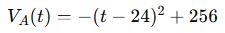
여자 A는 나이가 들수록 가치가 떨어질 것이다. 미모가 절정에 달했을 때의 나이를 24살로 정했다. 특정 시점에서 가치가 하락할 때 10만 불씩 떨어진다고 가정하고, 그 가치가 제로가 되는 시점을 40살로 정했다. 백만불 연봉의 남성B는 30살이고, 자수성가형으로 돈의 가치를 아는 사람으로 설정했다. 남자의 연봉은 줄어들지 않는다. 게임이론에서 등장하는 남성은 한 명이 아니라 여러 명이다. 이 남성들은 특정 시점에서 등장하는데, 연봉은 서로 다르고, 특정 시점에서 떠날 수 있는 선택지도 있다. 재밌는 점은, 조건을 제시한 학생들이 해피엔딩을 원하지 않는다는 것이었다. 여성의 바보짓이 계속된다는 가정을 덧붙였다.

x축은 나이t, y축은 가치 V(t), VA(t)는 시간에 따른 여자의 가치, C는 여자 A의 최대 평가 가치,



<게시판 기능에 수식을 넣는 기능이 없어서 이미지로 붙여넣기...>
간단한 수학 모델을 만들었다. 선형 함수로 더 간단하게 만들 수도 있었지만, 교수님이 요구하신 경제학도 입장에선 이게 더 나은 답이었다. 이 문제의 개념은 “가치가 시간에 따라 변하는 자산을, 언제까지 보유할 것인가?” 이다. 정확한 수치가 중요한 것이 아니라, 문제에 접근하고, 해결하는 과정에서 이 문제의 개념을 이해하고 있는가를 보여주는 것이다. 수학 캠프에서 2주간 가르친 게 그것이었다. 문제를 못 풀어도, 문제의 개념을 이해하고 있는가를 보는 것이다.
골빈녀를 사람으로 안 보고 자산으로 봤을 때, 이 자산을 언제까지 보유할 것인가를 계산하는 수학 모델을 만든 것이다. 자산은 부동산이 될 수도 있고, 주식이 될 수도 있다. 요즘으로 치면 암호 화폐가 될 수도 있는 것이다. 자산의 가치가 하락하기 전, 수학 모델을 활용해 예측하고, 대응하는 것이 핵심이다. 수학 모델을 조금만 변형하면 정책의 변화에도 적용할 수 있는 것이다.
그녀의 가치가 절정에 달하는 24세부터 26세 사이에 정신 차리지 않으면, 40살까지 반복되는 바보짓으로 결국 망한다고 조언해줄 수 있다. 자산의 가치가 고점을 찍었을 때 안 팔면, 망할 수도 있다는 것을 보여주는 모델이다.(optimal stopping problem) 문제의 구조만 놓고 보면, 교육용으로 상당히 좋은 문제였다. 하지만 학부생 수준을 벗어나긴 힘들었다. 명색이 LSE 석사과정인데, 그에 걸맞은 수학 모델을 보여주고 싶었다.
<게임이론, 남자는 자산 보유자>
<보유 자산 매각 타이밍, 확률 게임>
<문제의 핵심, “시간에 따라 변하는 자산을, 불확실성과 대안 선택을 고려해 언제 매도할 것인가?”>
<매각 시기 결정>
계산기를 사용하지 않고, 수식을 만들고 풀어가는 모습이 인상적이었던 모양이다. 교수님의 극찬을 받으며 그날의 강의는 끝났다. 교수님이 단기 석사인 나를 연구 석박사 그룹에 넣어 버렸다. 이래서 앞에 나서면 안 좋다는 것이다. 겸손의 미덕을 으뜸으로 삼아, 조용히 입 다물고 뒤에서 묻어가는 것이 최고다.
1학기 때 사라지는 학생들이 많았다. 석사생이 320명 정도 됐는데, 15%가 1학기 때 사라졌다. 디플로마로 내려가는 학생도 있었지만, 쫓겨나는 학생도 있었다. 웃기는 놈이 한 명 있었는데, 이란에서 온 놈이었다. 나와 생년월일이 똑같았던 녀석이라 기억한다. 이란에서 국비 유학으로 왔다는데, 똑똑한지는 모르겠고, 색을 엄청나게 밝히는 놈이었다. 무슬림이 저래도 되나 싶을 정도로 입에 색드립을 달고 다니는 놈이었다. 짜증 나서 그놈을 멀리했다. 알고 보니 나에게만 그런 것이 아니라, 자신 주변에 있는 모든 학생에게 그러고 다녔다. 어느 날 학교에서 사라졌는데, 들리는 말로는 학교에서 알게 되어 쫓겨났다고 한다.
만나는 사람에게 함부로 대하면 안 된다. 사람인연 어떻게 될지 아무도 모른다. 그때 만난 친구들과 수십 년째 연락하고 지내는 친구들이 많다. 그들 중에는 내 인생에 큰 영향을 미친 친구도 있었다.
어느 날 내 옆에 사우디에서 온 여학생이 앉았다. 그 이란놈을 피해서 온 것이었다. 24살이었는데, 일찍 결혼해서 남편과 함께 유학 온 학생이었다. 이름이 라미즈였는데, ‘즈’ 발음이 불편해서 ‘라미‘라고 불렀다. 라미 옆에 항상 붙어 다니는 사우디 남학생이 있었는데, 파하드였다. 나보다 10살 많았는데, Fahad 발음이 조금 어려웠다. 그 사람들이 사용하는 발음과 우리가 아는 발음이 다른데, 발음하기 쉽지 않았다. 나이 차도 있고, 이름 부르기 귀찮아서 그냥 형이라고 불렀다. 파하드 형님도 유부남이었는데, 사우디에서 무사 계급에 해당하는 귀족이었다. 이란놈이 라미에게 더러운 말을 하고 다니니까 막아준다고 옆에 따라다녔다.
라미는 사우디의 공주였다. 처음부터 알았던 것은 아니고, 나중에 시간이 좀 지나고 친해졌을 때 파하드 형님이 말해줘서 알았다. 2001년 당시에 사우디의 왕자와 공주는 6천 명씩 있었다. 초대 국왕의 부인이 22명이었는데, 그 부인들에게서 태어난 혈육이 많았다. 그래서인지 사우디에서는 왕자와 공주의 신분 인정 범위가 넓었다. 초대 국왕의 피가 한 방울이라도 흐르면 왕자고, 공주였다. 그래서 6천 명씩 되는 것이었다. 라미는 다른 공주와 달리 부친이 왕위 계승권을 가지고 있었다. 아랍 국가들은 형제 세습이다. 형제들이 모두 사망하면 첫째 형제의 장남에게 세습되는 방식으로 가문이 유지된다.
라미의 부친은 국왕의 친동생이었다. 국왕과 사이에 형들이 두 명인가, 세 명인가 있었는데, 형들이 나이가 많다 보니 국왕이 물러날 때, 다른 형들도 물러날 나이가 될 것이 분명했다. 나이 차로 인해 다음 국왕은 라미의 부친이 될 가능성이 컸다. 2017년, 왕좌에 대한 욕심이 컸던 빈 살만 왕세자가 국왕의 묵인 아래 친위 쿠데타를 일으켰다. 왕위 계승권을 가진 삼촌들을 모두 숙청시키고 세자가 되었다. 그때는 그런 일이 생길지 꿈에도 몰랐고, 그냥 즐겁게 지냈다.
<옛날에 즐겨쓰던 채팅 프로그램 ICQ>
학업량이 너무 많아 몇몇 학생들끼리 모여 스터디 그룹을 만들었다. 보통 교수님이 정해준 그룹에서 삼삼오오 모이는데, 나는 그 그룹에서 안 놀고, 같이 공부하자고 찾아오는 학생들과 함께했다. 그룹 챗을 만들어 저녁에 채팅으로 토론하고, 노트를 공유했다. MSN 메신저와 ICQ를 사용했는데, 인터넷 속도가 너무 느렸던 시절이라 동시 접속자도 제한적이었다. 보통 15명 이하로 유지했는데, 항상 활기 넘치는 방이어서 아무 때나 들어가도 자연스럽게 끼어들 수 있었다. 처음에는 화기애애하고 좋았는데, 어느 순간부터 분위기가 이상해졌다.
몇몇 학생들이 ’우리끼리‘ 놀자며 그룹 내에서 갈라치기를 시도했다. 공부를 잘하고 못하고의 문제가 아니라, 욕심 문제인 것 같다. 진지하게 공부하는 학생들이 그룹에 들어오면서 작은 일로 티격태격하는 일이 잦아졌다. 자신이 하는 만큼, 남들도 그만큼 해주기를 바라는 학생들이었는데, 결국 두 패로 갈라졌다. 그 후로 가깝게 지내는 7명만 모여 비공개 그룹으로 함께 했다. 오히려 그게 더 편했다.
댓글목록
등록된 댓글이 없습니다.






내가 쓴 글 보기


